欢迎打开南京奥伯尔环保设备有限公司官方网站,感谢您的到来我们会竭诚为您服务!
首页
关于我们
新闻资讯
产品中心
潜水搅拌机
立式浆框搅拌机
双曲面搅拌机
潜水推流器
曝气设备
格栅设备
输送压榨设备
砂水分离设备
旋流除砂设备
刮泥机浓缩设备
污泥回流泵
泵站设备
粉碎格栅设备
管式混合器
高效沉淀池工艺
案例展示
荣誉资质
联系我们
您当前的位置:
首页
>
产品中心
产品中心
>
潜水搅拌机
立式浆框搅拌机
双曲面搅拌机
潜水推流器
曝气设备
格栅设备
输送压榨设备
砂水分离设备
旋流除砂设备
刮泥机浓缩设备
污泥回流泵
泵站设备
粉碎格栅设备
管式混合器
高效沉淀池工艺
列表展示
全国服务热线
18951833636
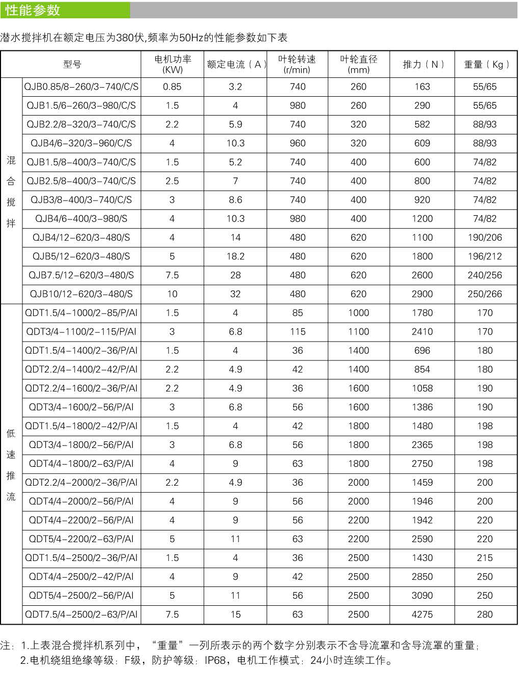
潜水推流器
潜水推流器
产品简介
热门产品
潜水搅拌机
潜水搅拌机
高效沉淀池工艺
高效沉淀池工艺
污水搅拌器
污水搅拌器